CHAPTER 1. Mathematics

Multiplication of Fractions

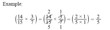
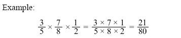
Multiplication of fractions does not require a common denominator. To multiply fractions, first multiply the numerators. Then, multiply the denominators.

The use of cancellation when multiplying fractions is a helpful technique which divides out or cancels all common factors that exist between the numerators and denominators. When all common factors are cancelled before the multiplication, the final product will be in lowest terms.

Division of Fractions

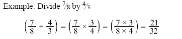
Division of fractions does not require a common denominator. To divide fractions, first change the division symbol to multiplication. Next, invert the second fraction. Then, multiply the fractions.

Example: In Figure 1-2, the center of the hole is in the center of the plate. Find the distance that the center of the hole is from the edges of the plate. To find the answer, the length and width of the plate should each be divided in half. First, change the mixed numbers to improper fractions:

Therefore, the distance to the center of the hole from each of the plate edges is 2 23/32 inches and 113/16 inches.

Reducing Fractions

A fraction needs to be reduced when it is not in “lowest terms." Lowest terms means that the numerator and denominator do not have any factors in common. That is, they cannot be divided by the same number (or factor). To reduce a fraction, determine what the common factor(s) are and divide these out of the numerator and denominator. For example when both the numerator and denominator are even numbers, they can both be divided by 2.

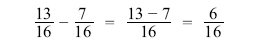
Example: The total travel of a jackscrew is 13/16 inch. If the travel in one direction from the neutral position is 7/16 inch, what is the travel in the opposite direction?

The fraction 6/16 is not in lowest terms because the numerator (6) and the denominator (16) have a common factor of 2. To reduce 6/16, divide the numerator and the denominator by 2. The final reduced fraction is 3/8 as shown below.

Therefore, the travel in the opposite direction is 3⁄8 inch.

 
 
 ©AvStop Online Magazine                                                                                                                                                      Contact Us              Return To Books

AvStop Aviation News and Resource Online Magazine

Grab this Headline Animator